Это и есть значения случайной величины.
Теперь считаем их вероятности.
Вероятность вынуть белый шар равна [m]\frac{3}{5}[/m]
Вероятность вынуть черный шар равна [m]\frac{2}{5}[/m]
При Х=0
все три шарика белые.
Вероятность вынуть белый шар равна [m]\frac{3}{5}[/m]
Вероятность того, что все три шара белые:
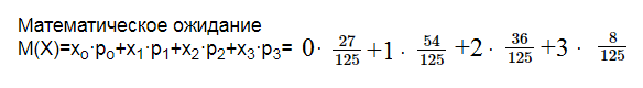
p_(o)=[m]\frac{3}{5}\cdot \frac{3}{5}\cdot \frac{3}{5}=\frac{27}{125} [/m]
При Х=1
Вероятность того, что один шар черный, два белых
p_(1)=C^(1)_(3)[m]\frac{2}{5}\cdot (\frac{3}{5})^{2}=\frac{54}{125}[/m]
При Х=2
Вероятность того, что два шара черных, один белый
p_(2)=C^(2)_(3)[m](\frac{2}{5})^{2}\cdot \frac{3}{5}=\frac{36}{125}[/m]
При X=3
Вероятность того, что все три шара черные:
p_(3)=[m]\frac{2}{5}\cdot \frac{2}{5}\cdot \frac{2}{5}=\frac{8}{125} [/m]
Таблица ( и есть закон распределения)

