Задать свой вопрос
*более 50 000 пользователей получили ответ на «Решим всё»
Задача 40767
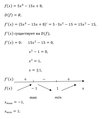
Найдите точки экстремума функции: f(x) =...
Условие
nikolay179540
2019-10-20 19:33:10
Найдите точки экстремума функции: f(x) = 5x^3-15x+8
математика
2825
Решение
u821511235
2019-10-20 21:14:13
★
Написать комментарий
Меню
Решим всё
Найти задачу
Категории
Статьи
Тесты
Архив задач
Присоединяйся в ВК