Задать свой вопрос
*более 50 000 пользователей получили ответ на «Решим всё»
Задача 40749
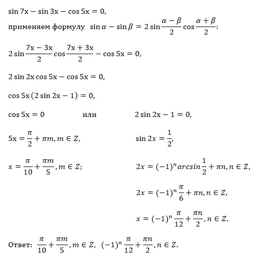
sin7x-sin3x-cos5x=0...
Условие
vk250367495
2019-10-19 22:54:16
sin7x-sin3x-cos5x=0
математика 10-11 класс
9487
Все решения
u821511235
2019-10-20 07:56:10
Написать комментарий
Меню
Решим всё
Найти задачу
Категории
Статьи
Тесты
Архив задач
Присоединяйся в ВК