Задать свой вопрос
*более 50 000 пользователей получили ответ на «Решим всё»
Задача 40724
Найти два различных решения...
Условие
nikolay179540
2019-10-18 19:26:11
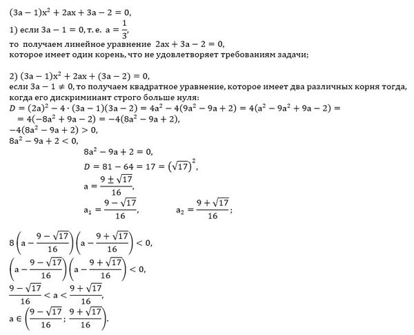
Найти два различных решения (3a-1)x^2+2ax+3a-2 = 0
математика 10-11 класс
1663
Решение
u821511235
2019-10-18 20:39:17
★
Написать комментарий
Меню
Решим всё
Найти задачу
Категории
Статьи
Тесты
Архив задач
Присоединяйся в ВК