Задать свой вопрос
*более 50 000 пользователей получили ответ на «Решим всё»
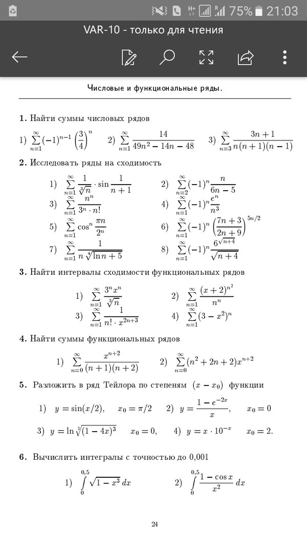
Задача 40719
Нужна помощь с математикой) 1,2,3...
Условие
dana1
2019-10-18 17:04:37
Нужна помощь с математикой)
1,2,3 задание:)
математика
387
О решение...
На нашем сайте такое бывает редко, но решение к данной задаче еще никто не написал.
Что Вы можете сделать?
Выставите данный вопрос вновь. Перейдите на
главную страницу
.
Найдите похожую задачу. Используйте
поиск
.
Написать комментарий
Меню
Решим всё
Найти задачу
Категории
Статьи
Тесты
Архив задач
Присоединяйся в ВК