Задать свой вопрос
*более 50 000 пользователей получили ответ на «Решим всё»
Задача 40569
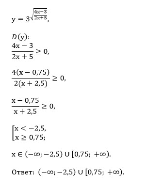
Помогите пожалуйста 3...
Условие
vk252862320
2019-10-15 18:53:30
Помогите пожалуйста 3
математика 10-11 класс
593
Решение
u821511235
2019-10-15 20:38:44
★
Написать комментарий
Меню
Решим всё
Найти задачу
Категории
Статьи
Тесты
Архив задач
Присоединяйся в ВК