Задать свой вопрос
*более 50 000 пользователей получили ответ на «Решим всё»
Задача 40514
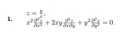
Проверьте, удовлетворяет ли указанному...
Условие
vk81772766
2019-10-14 12:58:03
Проверьте, удовлетворяет ли указанному уравнению данная функция z(x, y)
математика ВУЗ
827
Решение
vk136998153
2019-10-14 13:46:23
★
Написать комментарий
Меню
Решим всё
Найти задачу
Категории
Статьи
Тесты
Архив задач
Присоединяйся в ВК