Задать свой вопрос
*более 50 000 пользователей получили ответ на «Решим всё»
Задача 40502
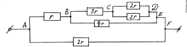
Найдите сопротивление цепи...
Условие
vk215902610
2019-10-13 22:25:18
Найдите сопротивление цепи
физика 10-11 класс
1079
Все решения
slava191
2019-10-13 23:40:05
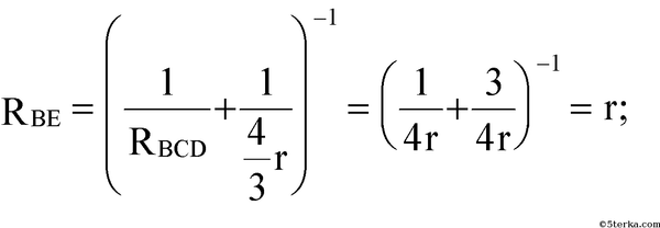
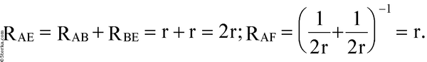
Рисуете эквивалентную схему и по ней проводите расчет
Написать комментарий
Меню
Решим всё
Найти задачу
Категории
Статьи
Тесты
Архив задач
Присоединяйся в ВК