Задать свой вопрос
*более 50 000 пользователей получили ответ на «Решим всё»
Задача 40497
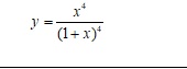
Исследовать средствами дифференциального...
Условие
vk277382618
2019-10-13 20:25:01
Исследовать средствами дифференциального исчисления функцию, найти асимптоты и построить график
математика ВУЗ
666
О решение...
На нашем сайте такое бывает редко, но решение к данной задаче еще никто не написал.
Что Вы можете сделать?
Выставите данный вопрос вновь. Перейдите на
главную страницу
.
Найдите похожую задачу. Используйте
поиск
.
Написать комментарий
Меню
Решим всё
Найти задачу
Категории
Статьи
Тесты
Архив задач
Присоединяйся в ВК