Задать свой вопрос
*более 50 000 пользователей получили ответ на «Решим всё»
Задача 40494
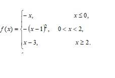
Исследовать функцию на непрерывность: ...
Условие
vk277382618
2019-10-13 19:50:55
Исследовать функцию на непрерывность:
математика ВУЗ
1183
Решение
vk136998153
2019-10-14 13:14:21
★
Написать комментарий
Меню
Решим всё
Найти задачу
Категории
Статьи
Тесты
Архив задач
Присоединяйся в ВК