Задать свой вопрос
*более 50 000 пользователей получили ответ на «Решим всё»
Задача 40451
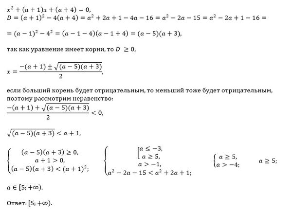
При каких значениях параметра а...
Условие
vk288952222
2019-10-11 16:37:13
При каких значениях параметра а уравнение имеет отрицательные корни
математика
3110
Решение
u821511235
2019-10-11 18:11:02
★
Написать комментарий
Меню
Решим всё
Найти задачу
Категории
Статьи
Тесты
Архив задач
Присоединяйся в ВК