Задать свой вопрос
*более 50 000 пользователей получили ответ на «Решим всё»
Задача 40419
1.Найдите общее решение...
Условие
vk81772766
2019-10-10 14:41:17
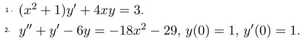
1.Найдите общее решение дифференциального уравнения.
2.Найдите решение задачи Коши
математика ВУЗ
1091
Решение
slava191
2019-10-10 15:33:32
★
Написать комментарий
Меню
Решим всё
Найти задачу
Категории
Статьи
Тесты
Архив задач
Присоединяйся в ВК