Задать свой вопрос
*более 50 000 пользователей получили ответ на «Решим всё»
Задача 40408
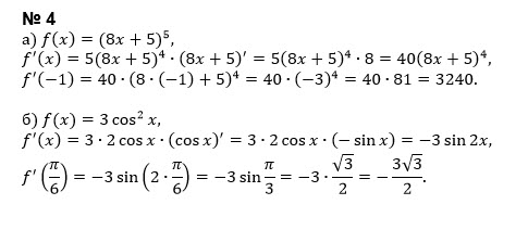
Помогите решить номер 4 б ...
Условие
vk280770680
2019-10-10 09:40:22
Помогите решить номер 4 б
математика 10-11 класс
621
Решение
u821511235
2019-10-10 17:14:22
★
Все решения
vk136998153
2019-10-10 12:53:57
Написать комментарий
Меню
Решим всё
Найти задачу
Категории
Статьи
Тесты
Архив задач
Присоединяйся в ВК