Задать свой вопрос
*более 50 000 пользователей получили ответ на «Решим всё»
Задача 40403
...
Условие
vk226434676
2019-10-10 09:00:53
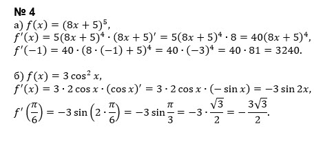
а) f(x) = (8x + 5)^5. Найдите f'(-1).
б) f(x) = 3 cos^2 x. Вычислите f' (π/6).
математика 10-11 класс
626
Решение
u821511235
2019-10-10 17:13:45
★
Написать комментарий
Меню
Решим всё
Найти задачу
Категории
Статьи
Тесты
Архив задач
Присоединяйся в ВК