Задать свой вопрос
*более 50 000 пользователей получили ответ на «Решим всё»
Задача 40399
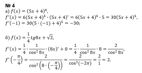
Помогите решить пожалуйста номер 4 ...
Условие
vk280770680
2019-10-10 06:46:52
Помогите решить пожалуйста номер 4
математика 10-11 класс
545
Решение
u821511235
2019-10-10 08:07:59
★
Написать комментарий
Меню
Решим всё
Найти задачу
Категории
Статьи
Тесты
Архив задач
Присоединяйся в ВК