Задать свой вопрос   *более 50 000 пользователей получили ответ на «Решим всё»

Задача 40344 ...

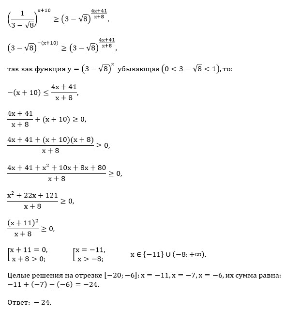
Условие

(1/( 3 - √8 ))^(x +10) ≥ ( 3 - √8 )^((4x + 41)/(x+8))

математика 783

Все решения

Сумма в ответе -24,
-11 , -7 и -6 -это икс, который удовлетворяет неравенству

Написать комментарий

Меню

Присоединяйся в ВК