Задать свой вопрос   *более 50 000 пользователей получили ответ на «Решим всё»

Задача 40340 Приведите значения температуры (оС, К) и...

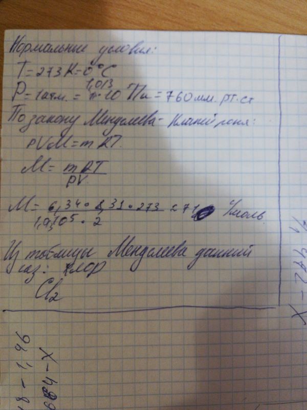
Условие

Приведите значения температуры (оС, К) и давления (Па, мм рт. ст., атм) при
нормальных условиях. Рассчитайте молекулярную массу газообразного вещества,
2 л которого (н.у.) имеют массу 6,34 г. Напишите формулу газа.

химия ВУЗ 2655

Решение

Решение на фото

Написать комментарий

Меню

Присоединяйся в ВК