Задать свой вопрос   *более 50 000 пользователей получили ответ на «Решим всё»

Задача 40332 Дан треугольник ВСD. Плоскость,...

Условие

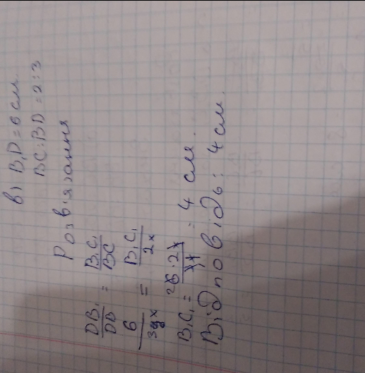
Дан треугольник ВСD. Плоскость, параллельная прямой ВС пересекает сторону ВD этого треугольника в точке В1, сторону СD - в точке С1. Найти длину отрезка В1С1, если
1) ВС = 20 см; ВВ1:BД = 2:5
2) ВС = 14 см; СС1:С1Д = 5:2
3) В1D = 6 см; ВС:BД = 2:3

математика 10-11 класс 3405

Решение

Все решения

Написать комментарий

Меню

Присоединяйся в ВК