Задать свой вопрос
*более 50 000 пользователей получили ответ на «Решим всё»
Задача 40313
...
Условие
vk211163477
2019-10-07 17:49:49
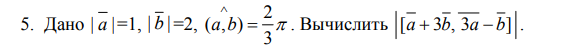
Дано векторы а=1,b=2, (a,b)2/3π. Вычислить {[a+3b,3a-b]}.
математика ВУЗ
2341
Решение
molly1
2019-10-09 11:52:20
★
Написать комментарий
Меню
Решим всё
Найти задачу
Категории
Статьи
Тесты
Архив задач
Присоединяйся в ВК