Задать свой вопрос
*более 50 000 пользователей получили ответ на «Решим всё»
Задача 40311
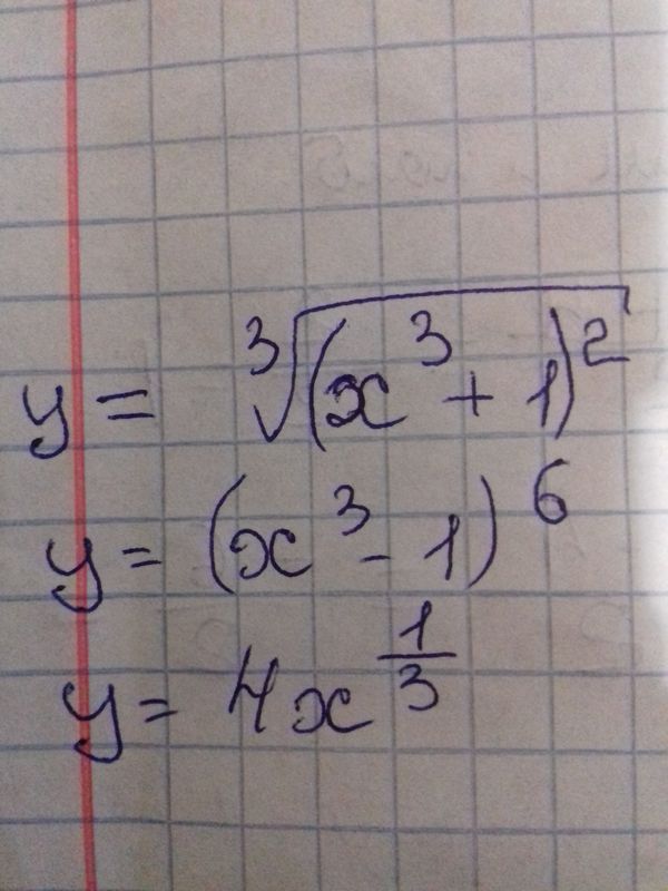
Помогите пожалуйста с 3- мя примерами....
Условие
katyanutl
2019-10-07 17:19:42
Помогите пожалуйста с 3- мя примерами. 11 класс.
Заранее спасибо! ( фото прикреплено)
математика 10-11 класс
786
О решение...
На нашем сайте такое бывает редко, но решение к данной задаче еще никто не написал.
Что Вы можете сделать?
Выставите данный вопрос вновь. Перейдите на
главную страницу
.
Найдите похожую задачу. Используйте
поиск
.
Написать комментарий
Меню
Решим всё
Найти задачу
Категории
Статьи
Тесты
Архив задач
Присоединяйся в ВК