Задать свой вопрос
*более 50 000 пользователей получили ответ на «Решим всё»
Задача 40283
...
Условие
vk341360282
2019-10-06 17:22:35
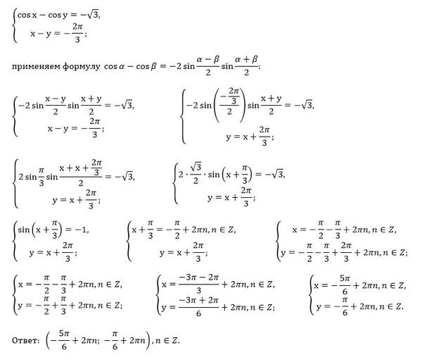
Cosx-cosy=-sqrt(3)
X-y=-2π/3 это системная функция
математика 10-11 класс
1088
Решение
u821511235
2019-10-06 19:46:53
★
Написать комментарий
Меню
Решим всё
Найти задачу
Категории
Статьи
Тесты
Архив задач
Присоединяйся в ВК