Задать свой вопрос   *более 50 000 пользователей получили ответ на «Решим всё»

Задача 40265 Найдите производную функцию...

Условие

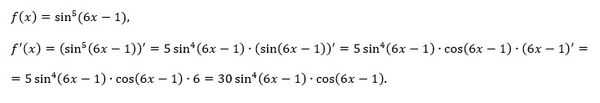
Найдите производную функцию f(x)=sin^5(6x-1)
Помогите срочно, буду благодарна

математика 10-11 класс 1336

Решение

Все решения

5sin^4(6x-1)*cos(6x-1)*6

Написать комментарий

Меню

Присоединяйся в ВК