Задать свой вопрос
*более 50 000 пользователей получили ответ на «Решим всё»
Задача 40227
...
Условие
vk398721392
2019-10-05 06:59:45
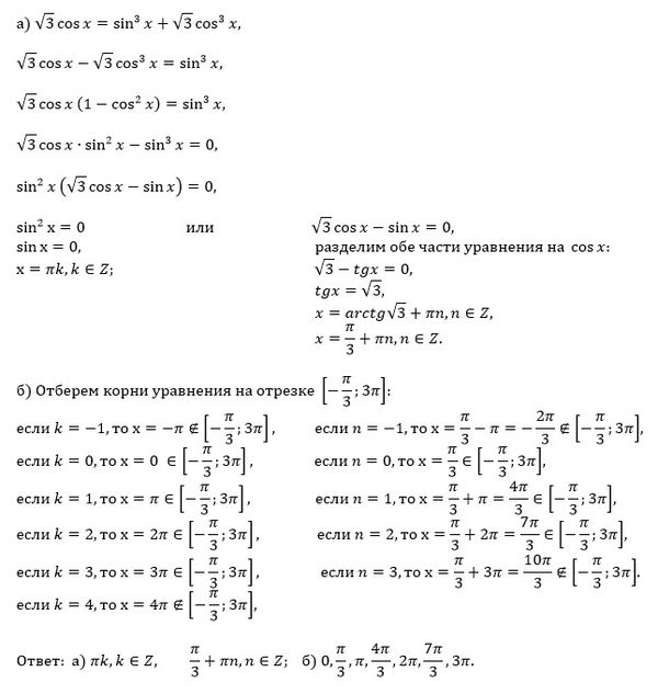
√3cosx=sin3x+√3cos3x
И найти корни на промежутке от (–п/3;3п)
математика 10-11 класс
4074
Решение
u821511235
2019-10-05 07:09:22
★
Написать комментарий
Меню
Решим всё
Найти задачу
Категории
Статьи
Тесты
Архив задач
Присоединяйся в ВК