Задать свой вопрос
*более 50 000 пользователей получили ответ на «Решим всё»
Задача 40223
...
Условие
robertfrelikh
2019-10-04 16:28:08
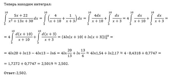
∫ (5x+22)/(x^2+13x+30) dx
математика ВУЗ
809
Решение
u821511235
2019-10-04 23:39:57
★
Написать комментарий
Меню
Решим всё
Найти задачу
Категории
Статьи
Тесты
Архив задач
Присоединяйся в ВК