Задать свой вопрос
*более 50 000 пользователей получили ответ на «Решим всё»
Задача 40222
...
Условие
robertfrelikh
2019-10-04 16:27:36
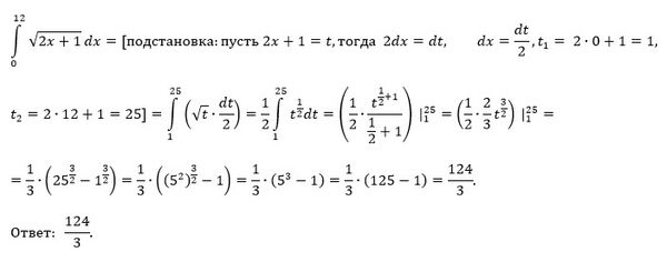
∫₀¹² sqrt(2х+1) dx
математика ВУЗ
745
Все решения
u821511235
2019-10-05 00:36:36
vk444677550
2019-10-04 23:39:24
Решение на фото. Концовка с десятичной не нужна.
Написать комментарий
Меню
Решим всё
Найти задачу
Категории
Статьи
Тесты
Архив задач
Присоединяйся в ВК