Задать свой вопрос
*более 50 000 пользователей получили ответ на «Решим всё»
Задача 40206
...
Условие
vk288952222
2019-10-03 18:39:33
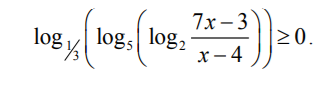
Решите неравенство log(1/3)(log5(log2((7x-3)/(x-4)))) ≥ 0
математика 10-11 класс
3641
Решение
u821511235
2019-10-03 21:11:28
★
Написать комментарий
Меню
Решим всё
Найти задачу
Категории
Статьи
Тесты
Архив задач
Присоединяйся в ВК