Задать свой вопрос
*более 50 000 пользователей получили ответ на «Решим всё»
Задача 40201
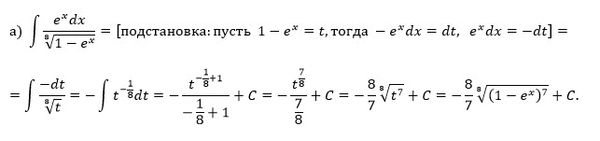
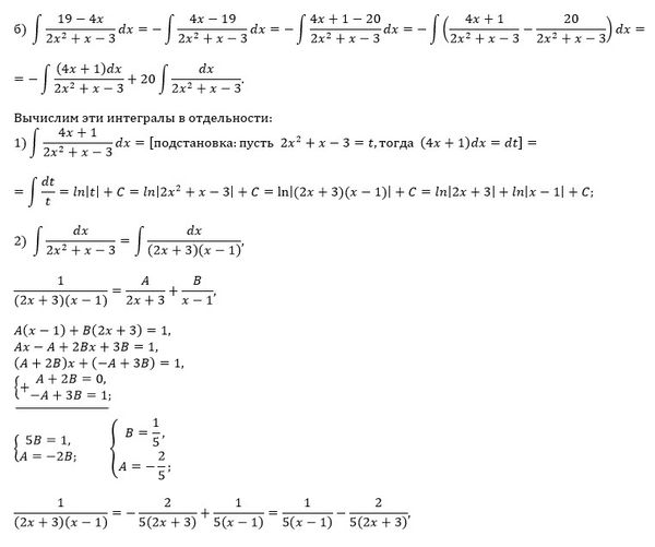
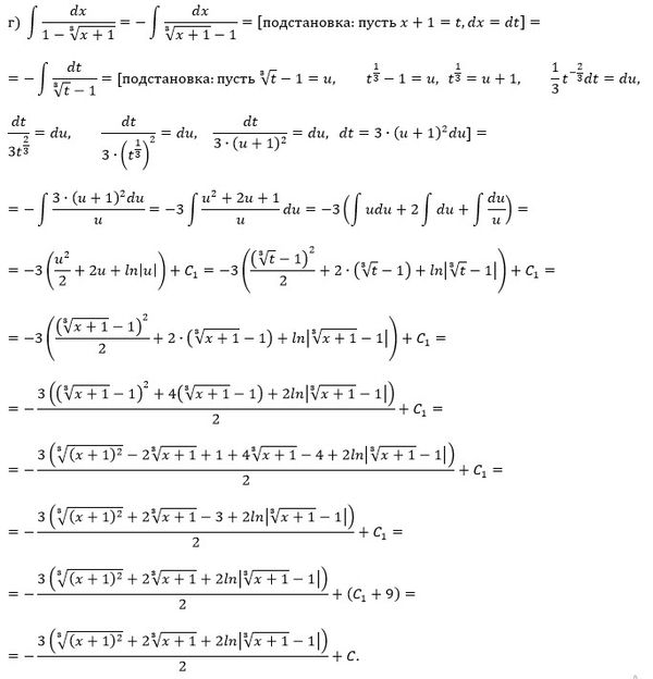
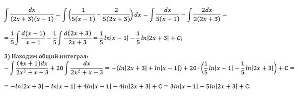
Найти заданные неопределенные интегралы...
Условие
vasyuk88
2019-10-03 16:54:37
Найти заданные неопределенные интегралы
предмет не задан
708
Решение
u821511235
2019-10-04 06:44:12
★
Написать комментарий
Меню
Решим всё
Найти задачу
Категории
Статьи
Тесты
Архив задач
Присоединяйся в ВК