Задать свой вопрос
*более 50 000 пользователей получили ответ на «Решим всё»
Задача 40200
...
Условие
sonya1666
2019-10-03 16:42:43
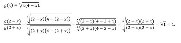
Найдите
g(2-x)/g(2+x) если g(x)=∛x(4-x)
предмет не задан
61939
Все решения
u821511235
2019-10-03 17:44:41
Написать комментарий
Меню
Решим всё
Найти задачу
Категории
Статьи
Тесты
Архив задач
Присоединяйся в ВК