Задать свой вопрос
*более 50 000 пользователей получили ответ на «Решим всё»
Задача 40197
...
Условие
ladykaramel
2019-10-03 15:21:28
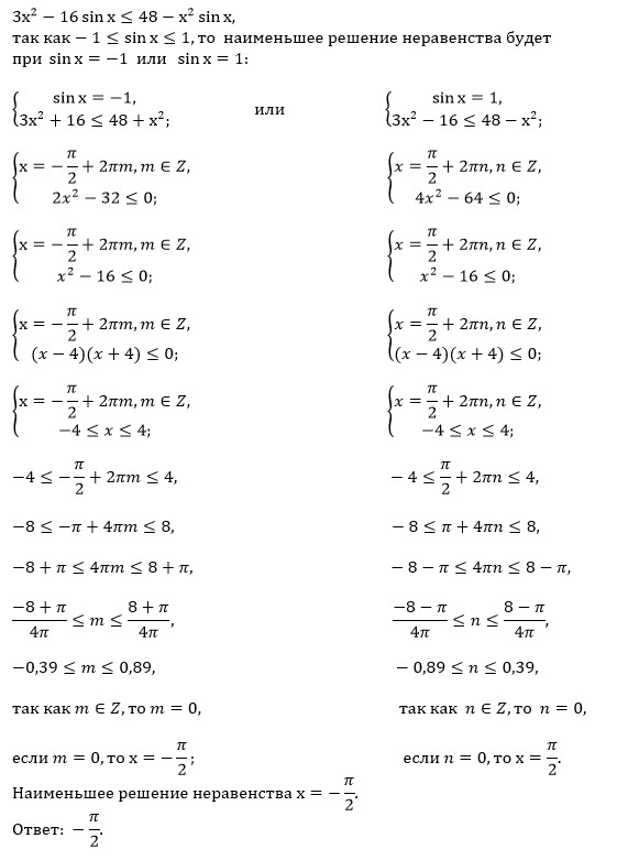
Найдите меньшее решение неравенства 3x^2 - 16sinx≤48-x^2 sinx
математика 10-11 класс
651
Все решения
u821511235
2019-10-03 18:41:09
Написать комментарий
Меню
Решим всё
Найти задачу
Категории
Статьи
Тесты
Архив задач
Присоединяйся в ВК