Задать свой вопрос
*более 50 000 пользователей получили ответ на «Решим всё»
Задача 40193
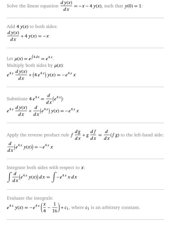
Найти частное решение ДУ y`=-x-4y при...
Условие
vk135325619
2019-10-03 14:34:35
Найти частное решение ДУ y`=-x-4y при начальном условии y(0)=1
математика ВУЗ
1073
Все решения
slava191
2019-10-03 16:40:17
Написать комментарий
Меню
Решим всё
Найти задачу
Категории
Статьи
Тесты
Архив задач
Присоединяйся в ВК