Задать свой вопрос
*более 50 000 пользователей получили ответ на «Решим всё»
Задача 40176
Вычислить площадь фигуры, ограниченной...
Условие
vk516903088
2019-10-02 21:12:41
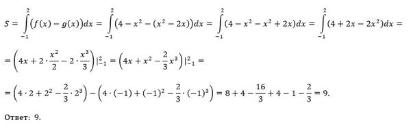
Вычислить площадь фигуры, ограниченной графиками функций y=4- x^2; y=x^2-2x
математика 10-11 класс
12346
Решение
u821511235
2019-10-03 09:08:13
★
Написать комментарий
Меню
Решим всё
Найти задачу
Категории
Статьи
Тесты
Архив задач
Присоединяйся в ВК