Задать свой вопрос   *более 50 000 пользователей получили ответ на «Решим всё»

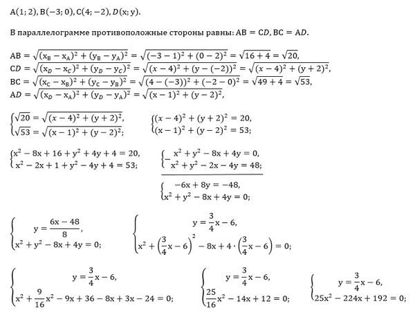
Задача 40169 1) даны точки А(1; 2) В(-3; 0) С(4, -2)...

Условие

1) даны точки А(1; 2) В(-3; 0) С(4, -2) и D(x; y) вершины параллелограмма ABCD найдите координаты D(x; y )

математика 8-9 класс 2391

Все решения

Написать комментарий

Меню

Присоединяйся в ВК