Задать свой вопрос
*более 50 000 пользователей получили ответ на «Решим всё»
Задача 40116
Решите дифференциальное уравнение...
Условие
vk151559972
2019-09-30 22:35:13
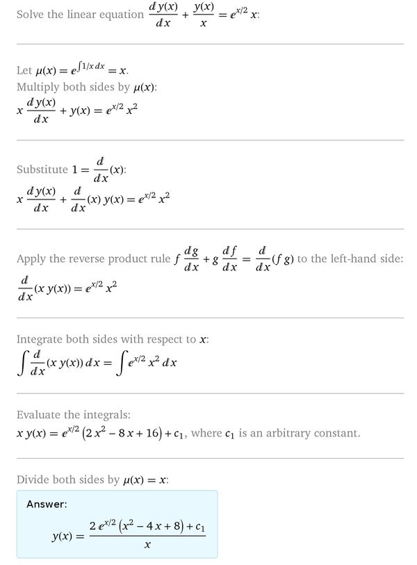
Решите дифференциальное уравнение
y’+y/x=x*e^(x/2)
математика ВУЗ
794
Все решения
slava191
2019-10-04 01:18:21
Написать комментарий
Меню
Решим всё
Найти задачу
Категории
Статьи
Тесты
Архив задач
Присоединяйся в ВК