Обязательная часть
1. Найдите значение выражения (2x-y)/(xy) при x=0,4, y=-5.
2. Сократите дробь (b^2-c^2)/(b^2-bc)
3. Выполните действия: (2a)/(a-b) + (2a)/(a+b)
4. Упростите выражение (8m^2n^2)/(5k) : (4m^3n)/(2).
5. Представьте выражение (x^-10/ x^-8) в виде степени с основанием x и найдите его значение при x=(1/3)
6. Решите уравнение (x-4)/(3) +(x+1)/(2) = 3.
7. Составьте два разных уравнения по условию задачи:
«От дома до школы Коля обычно едет на велосипеде со скоростью 10 км/ч. Чтобы приехать в школу раньше на 12 мин, ему надо ехать со скоростью 15 км/ч. Чему равно расстояние от дома до школы? »
Дополнительная часть
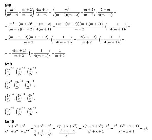
8. Упростите выражение (m^2/(m^2-4) + (m+2)/(m-2)) : (4m+4)/(2-m)
9. Расположите в порядке возрастания дроби: (2/3)^-3, (1/2)^-3, (3/2)^-3.
10. Сократите дробь (x+x^2+x^3)/(x^-1+x^-2+x^-3).
