Задать свой вопрос
*более 50 000 пользователей получили ответ на «Решим всё»
Задача 40082
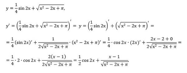
y=1/4sin2x+кореньx^2-2x +Pi...
Условие
vk396360059
2019-09-30 04:18:48
y=1/4sin2x+кореньx^2-2x +Pi
математика 10-11 класс
597
Все решения
u821511235
2019-09-30 06:41:48
Написать комментарий
Меню
Решим всё
Найти задачу
Категории
Статьи
Тесты
Архив задач
Присоединяйся в ВК