Задать свой вопрос
*более 50 000 пользователей получили ответ на «Решим всё»
Задача 40066
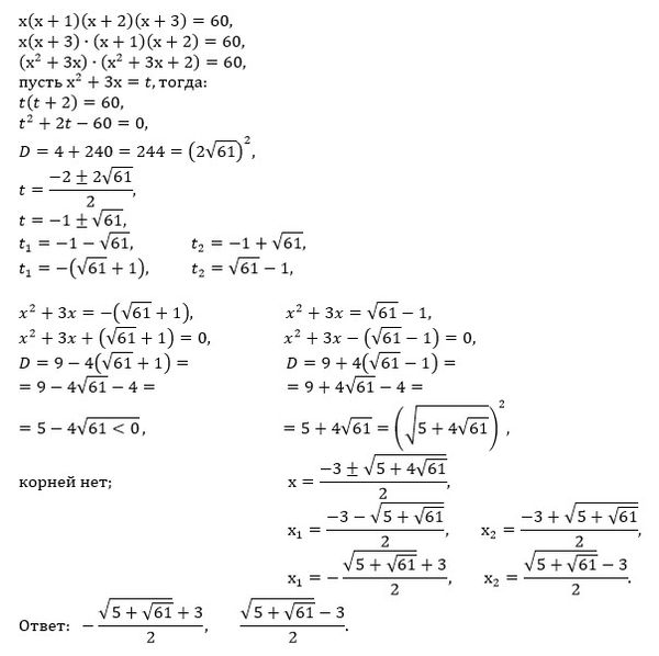
x*(x+1)*(x+2)*(x+3)=60 Чему равен x?...
Условие
stefasofiis
2019-09-29 14:14:22
x*(x+1)*(x+2)*(x+3)=60
Чему равен x?
математика 1-5 класс
1219
Все решения
u821511235
2019-09-29 15:32:14
Написать комментарий
Меню
Решим всё
Найти задачу
Категории
Статьи
Тесты
Архив задач
Присоединяйся в ВК