Задать свой вопрос
*более 50 000 пользователей получили ответ на «Решим всё»
Задача 40048
...
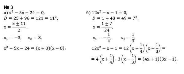
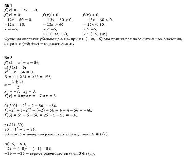
Условие
vk488124472
2019-09-28 20:03:52
предмет не задан
562
Решение
u821511235
2019-09-29 02:30:46
★
Написать комментарий
Меню
Решим всё
Найти задачу
Категории
Статьи
Тесты
Архив задач
Присоединяйся в ВК