Задать свой вопрос
*более 50 000 пользователей получили ответ на «Решим всё»
Задача 40042
Найдите точки экстремума функции и...
Условие
vk492803606
2019-09-28 13:36:06
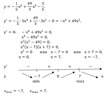
Найдите точки экстремума функции и определите их характер
y = -1/5 x^5 + 49/3 x^3 - 3/5
математика ВУЗ
6403
Решение
u821511235
2019-09-28 23:33:28
★
Написать комментарий
Меню
Решим всё
Найти задачу
Категории
Статьи
Тесты
Архив задач
Присоединяйся в ВК