Задать свой вопрос
*более 50 000 пользователей получили ответ на «Решим всё»
Задача 39983
...
Условие
vk234128108
2019-09-26 20:35:05
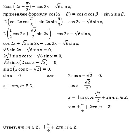
2cos(2x-p/3)-cos2x=√6sinx
математика 10-11 класс
7129
Все решения
u821511235
2019-09-26 20:50:41
Написать комментарий
Меню
Решим всё
Найти задачу
Категории
Статьи
Тесты
Архив задач
Присоединяйся в ВК