Задать свой вопрос
*более 50 000 пользователей получили ответ на «Решим всё»
Задача 39969
Решить уравнение f'(x)=2, если f(x) =...
Условие
vk306899767
2019-09-26 16:22:20
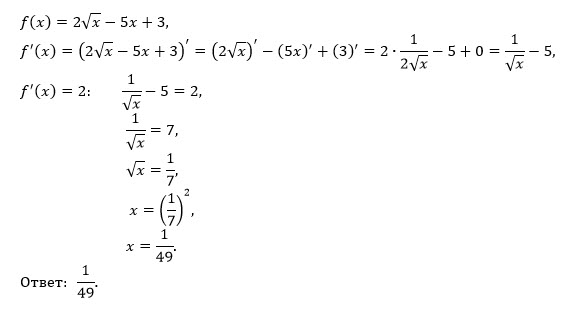
Решить уравнение f'(x)=2, если f(x) = 2sqrt(x)-5x+3
математика 10-11 класс
1040
Решение
u821511235
2019-09-26 18:18:54
★
Написать комментарий
Меню
Решим всё
Найти задачу
Категории
Статьи
Тесты
Архив задач
Присоединяйся в ВК