Задать свой вопрос
*более 50 000 пользователей получили ответ на «Решим всё»
Задача 39968
ПОМОГИТЕ РЕШИТЬ ...
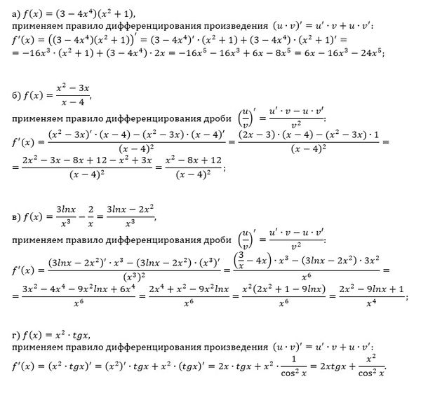
Условие
vk306899767
2019-09-26 16:19:43
ПОМОГИТЕ РЕШИТЬ
математика 10-11 класс
551
Решение
u821511235
2019-09-26 18:23:11
★
Написать комментарий
Меню
Решим всё
Найти задачу
Категории
Статьи
Тесты
Архив задач
Присоединяйся в ВК