Задать свой вопрос
*более 50 000 пользователей получили ответ на «Решим всё»
Задача 39967
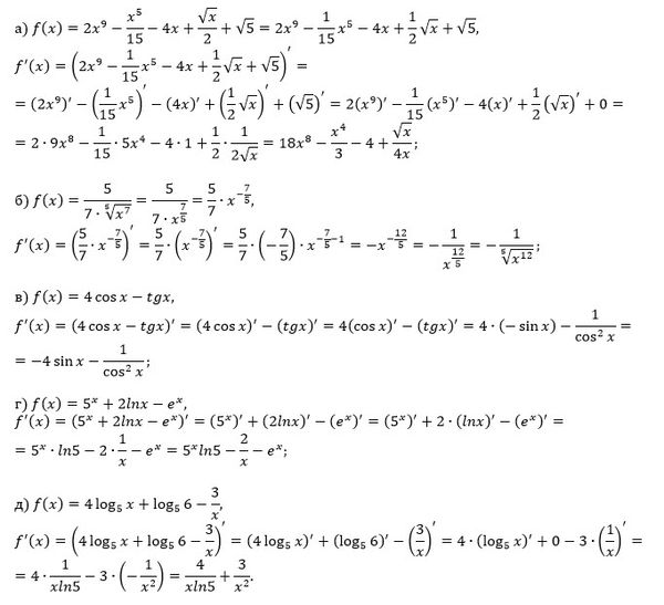
Помогите пожалуйста решить ...
Условие
vk306899767
2019-09-26 16:18:35
Помогите пожалуйста решить
математика 10-11 класс
530
Решение
u821511235
2019-09-26 17:02:54
★
Написать комментарий
Меню
Решим всё
Найти задачу
Категории
Статьи
Тесты
Архив задач
Присоединяйся в ВК