Задать свой вопрос
*более 50 000 пользователей получили ответ на «Решим всё»
Задача 39963
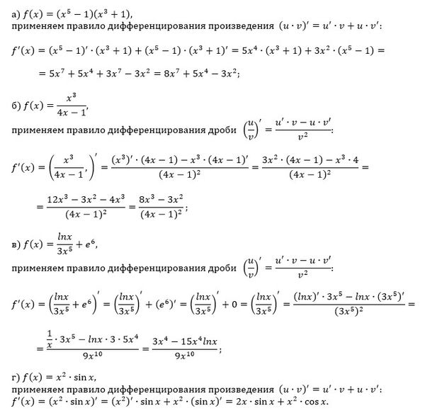
Помогите решить пожалуйста задание 3 ...
Условие
vk280770680
2019-09-26 15:55:26
Помогите решить пожалуйста задание 3
математика 10-11 класс
543
Решение
u821511235
2019-09-26 16:47:54
★
Написать комментарий
Меню
Решим всё
Найти задачу
Категории
Статьи
Тесты
Архив задач
Присоединяйся в ВК