Задать свой вопрос
*более 50 000 пользователей получили ответ на «Решим всё»
Задача 39960
Найдите производную функции!!! Плиз...
Условие
vk201606530
2019-09-26 15:48:11
Найдите производную функции!!!
Плиз
математика ВУЗ
1296
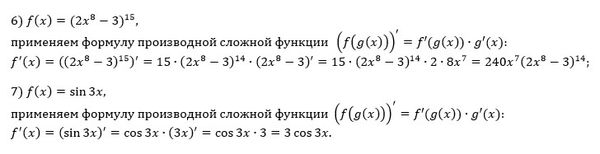
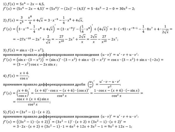
Решение
u821511235
2019-09-26 16:29:40
★
Написать комментарий
Меню
Решим всё
Найти задачу
Категории
Статьи
Тесты
Архив задач
Присоединяйся в ВК