Задать свой вопрос
*более 50 000 пользователей получили ответ на «Решим всё»
Задача 39945
Математика 11 класс 3 примера Заранее...
Условие
katyanutl
2019-09-25 22:20:15
Математика 11 класс
3 примера
Заранее спасибо!
математика 10-11 класс
3811
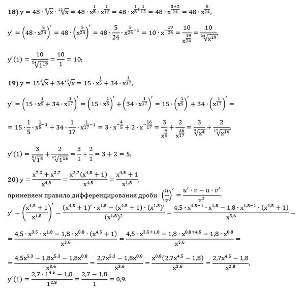
Решение
u821511235
2019-09-25 23:00:09
★
Написать комментарий
Меню
Решим всё
Найти задачу
Категории
Статьи
Тесты
Архив задач
Присоединяйся в ВК