Задать свой вопрос
*более 50 000 пользователей получили ответ на «Решим всё»
Задача 39942
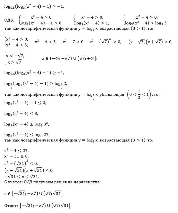
Решите неравенство пожалуйста....
Условие
vk288952222
2019-09-25 20:25:47
Решите неравенство пожалуйста.
предмет не задан
560
Решение
u821511235
2019-09-25 20:58:46
★
Написать комментарий
Меню
Решим всё
Найти задачу
Категории
Статьи
Тесты
Архив задач
Присоединяйся в ВК