Задать свой вопрос
*более 50 000 пользователей получили ответ на «Решим всё»
Задача 39937
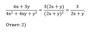
Сократить дробь 6x+3y / 4x^2+4xy+y^2...
Условие
nazarova111
2019-09-25 17:27:28
Сократить дробь 6x+3y / 4x^2+4xy+y^2
математика 8-9 класс
1605
Решение
u821511235
2019-09-25 17:31:28
★
Написать комментарий
Меню
Решим всё
Найти задачу
Категории
Статьи
Тесты
Архив задач
Присоединяйся в ВК