Задать свой вопрос   *более 50 000 пользователей получили ответ на «Решим всё»

Задача 39936 Найдите производную ln^2(x+1)'...

Условие

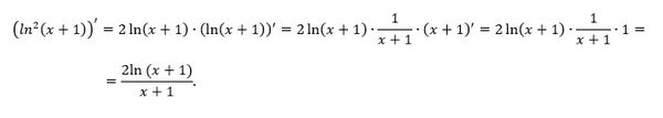
Найдите производную ln^2(x+1)'

математика ВУЗ 2036

Решение

Вопросы к решению (1)

Написать комментарий

Меню

Присоединяйся в ВК