Задать свой вопрос
*более 50 000 пользователей получили ответ на «Решим всё»
Задача 39933
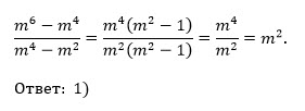
Упростить m^8-m^6 / m^4-m^2...
Условие
nazarova111
2019-09-25 16:55:41
Упростить m^8-m^6 / m^4-m^2
математика 8-9 класс
1441
Решение
u821511235
2019-09-25 17:01:40
★
Написать комментарий
Меню
Решим всё
Найти задачу
Категории
Статьи
Тесты
Архив задач
Присоединяйся в ВК