Задать свой вопрос
*более 50 000 пользователей получили ответ на «Решим всё»
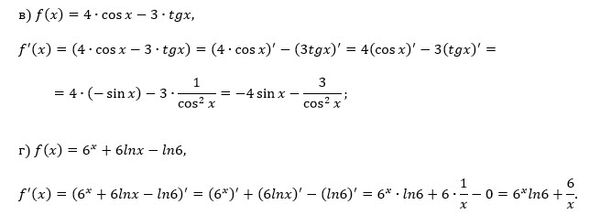
Задача 39932
помогите решить в) и г ) ...
Условие
vk492803606
2019-09-25 16:53:00
помогите решить в) и г )
математика 10-11 класс
561
Решение
u821511235
2019-09-25 17:10:09
★
Написать комментарий
Меню
Решим всё
Найти задачу
Категории
Статьи
Тесты
Архив задач
Присоединяйся в ВК